Ссыль на запись: https://youtu.be/33170Mi2gEk
чисельні розвязання нелінійних рівнянь вигляду
полягає в знаходженні такого x=x* для якого рівняння (1) задовольняється з заданою точністю Е тобто
Складається з наступних етапів:
на першому етапі застосовуєжться графічний або аналітичний підходи
неперервна строго монотонна функція f(x) має і при тому єдиний нуль на відрізку [a,b] тоді і тільки тоді коли на його кінцях вона приймає значення різних знаків.
побудування графіка функції f(x)
попередньо граф методом визначений інтервал локалізації кореня
початковий інтервал [a0,b0] ділиться навпіл:
Визначаються значення функції f(x) в точках x1=a0, x2=c, x3=b0, тобто f(a0), f(c) f(b0).
Далі обирається та половина початкового інтервалу [a0,b0], на кінцях якої функція f(x) має протилежні знаки.
Якщо
Перевіряється умова закінчення процесу пошуку:
E - задана точність.
Якщо умова (у) виконана, то
Таким чином на якомусь етапі визначено корінь x* з заданою точністю на основі побудованих вкладених один в одного відрізків
звідки і назва методу.

рис.1 Метод половинного ділення
Розв'язати рівняння
Табл. 1
Графічна інттерпретація метода
Проведемо дотичну до лінії y=f(x) в точці x=x0. Рівняння дотичної:
Для початку обчислень треба задати початкове приближення x0.
Умова закінчення процесу пошуку:
Нехай на відрізку [a0,b0] функція f(x) має першу і другу похідні постійного знаку і нехай f(a0)*f(b0)<0. Тоді, якщо для
то почати з точки x0 послідовність {Xk},(k=0,1,2...), яка задається формулою (4), монотонно збігається до кореня x* , рівняння f(x)=0.
додатні на всій області визначення f(x).
Виберемо x0=0,6
Маємо:
Застосування методу Ньютона потребує на кожній ітерації обчислення значення функції та її похідної. Замінемо похідну функції наближенням різницевим співвідношенням:
Після перетворень:

Легко отримати, що
Умова закінчення процесу:

Початкове рівняння f(x)=0 приводиться до вигляду
Розв'язок шукається на основі побудування послідовності
починаючи з деякого х0.
Умови збіжності методу і оцінка похибки результату визначаються теоремою:
Нехай u(x) - визначена і диференційована на [a,b]. тоді, якщо виконується умови
1)* і до цього кореня збігається послідовність {Xk},(k=0,1,2...), побудована за формулою (10):
Умови закінчення:
Якщо безпосереднє перетворення початкового рівняння f(x)=0 до вигляду х=u(x) не дозволяє отримати умови збіжності методу, можна застосувати таке еквівалентне рівняння:
Де
- параметр, який підбирається таким чином, що в потрібній області виконується умова

Перетворимо початкове рівняння до вигляду
Оскільки для (12) маємо:
то процес
збігається.
В якості початкової точки візьмемо х0=0,5.

Запись: https://youtu.be/sD3HdA475sk
Нехай на деякій множині задана система функцій
які будемо вважати достатньо гладкими (тобто неперервно диференційованими). Система функцій (1) називається основною системою
Виведемо поліном
де C0,C1,C2,...,Cm - постійні коефіцієнти.
Qm(x) називається узагальненим поліномом порядку m. Наприклад, якщо
, то
маємо звичайний алгебраїчний поліном степені m.
Якщо
Це тригонометричний поліном порядку m.
Сформулюємо задачу наближення функції.
Задану функцію f(x) треба замінити узагальненим поліномом Qm(x) заданого порядку m так, щоб відхилення функції f(x) від Qm(x) на вказаній множині х було найменшим.
Q(x) називається апроксимуючим поліномом.
Множина х може складатися з окремих точок х0,х1,...,хn - тоді маємо точкове неближення.
Якщо х - це відрізок a<=x<=b, то наближення називається інтегральним
Відхилення розуміється по-різному: якщо значення f(Xk) i Qm(Xk), k=0,1...,n співпадають - маємо задачу інтерполяції:
Існують також задачі середньоквадратичного наближення, рівномірного наближення і т.д.
Нехай у=f(x) задана в точках х0,х1,...,хn своїми значеннями у0,у1,...yn (рис1)

рис1
Будемо вважати функцію f(x) і поліном
близкими, якщо вони співпадають на заданій множині точок х0,х1,...,хn. Ці точки називаються вузлами інтерполяції.
Знайти поліном Qm(x) найнижчої степені m такий, що
Qm(x) - називається інтерполяціонним поліномом
Доведено, що існує єдиний поліном степені не вище n, який приймає в точках х0,х1,...,хn задані значення. Покладемо m=n
Коефіцієнти полінома Qn(x) знайдемо із системи
Визначник системи (1) - це визначник Вандельмонда.
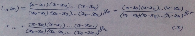
Система (1) має єдиний роз'вязок. Поліном Ln(x) - це інтерполяційний поліном Лагранжа.
Він має вигляд:

Отже

Формула (2) - це інтерполяційна формула Лагранжа.
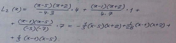
Знайти поліном степені m<=2, який в точках х0=1, х1=5, х2=-2 приймає значення у0=4, у1=1, у2=7
Маємо:



при додаванні одного нового вузла треба все перерахувати.
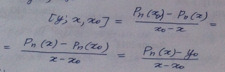
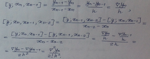
Нехай f(x) задана значеннями у0,у1,...,уn в вузлах х0,х1,...хn Складемо відношення:

це число називається роздільною різницею першого порядку функції f(x) в вузлі х0
Для точки х1 будемо мати:
Для точки х2:
і т.д.
Роздільна різниця 2го порядку в точці х0:

Знайти роздільні різниці для функції у=х^3 в точках х0=1,х1=3,х2=5,х3=2,х4=4
Складемо таблицю для обчислення різниць

Очевидно, що різниці 4го порядку дорівнюють 0 (як і відповідні похідні функції у=х^3)
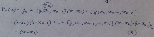
Запишемо за допомогою роздільних різниць поліном Pn(x), який в точках (вузлах) х0,х1,...,хn приймає значення у0,у1,...,уn Запишемо роздільну різницю [y;x0,x1], а також [y;x0,x1,x2], ..., [y;x0,x1,...,xn] Це ми можемо зробити. Очевидно, що

Звідки маємо:

Аналогічно:

Тобто

Підставимо (2) в (1). Маємо:
Далі:

Тобто:

Підставимо (4) в (3):

і т.д. В результаті отримаємо:

Формула (6) - інтерполяційна формула Ньютона. (Відстань між вузлами може бути різна!)
При появі нового вузла в формулі (6) з'явиться ще один доданок.
Знайти поліном P3(x), який в вузлах х0=-1,х1=3,х2=4,х3=0 приймає значення у0=4, у1=2 у2=-3, у3=1
Запишемо обчислення в таблицю
Маємо:
Поліном P3(x) має бути таким же, як і поліном L3(x) Лагранжа.
Вузли інтерполяції х0,х1,...,хn можуть бути розташовані в довільній послідовності. Зокрема, якщо вузли перенумеровані в зворотному порядку, поліном (6) приймає вигляд:
Виразу (6) і (8) еквівалентні.
Нехай функція y=f(x) задана своїми значеннями в вузлах х0,х1,...,хn. де х1=х0+h, x2=x0+2h, ...
Тобто вузли є рівновіддаленими. Відповідні значення функції y0, y1, ..., yn
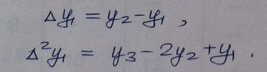
Кінцевою різницею 1 порядку функції y=f(x) в точці х0 називається величина

Аналогічно вводяться різниці 2го порядку
Для точки х1 будемо мати
Знайти кінцеві різниці для функції у=x^3 в вузлах х0=0, х1=1, х2=2, х3=3, х4=4
Обчислення зведемо в таблицю

Кінцеві різниці
називаються кінцевими різницями 1го роду.
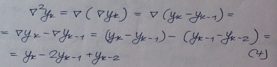
Кінцеві різниці 2го роду позначаються
(набла) і обчислюються так:
Тобто береться різниця "назад".
Різниця 2го порядку:

Обчислити кінцеві різниці 2го роду для функції y=x^3 в вузлаї х0=0, х1=1, х2=2, х3=3, х4=4.
Розрахунки представлені в таблиці

Розглянемо рівновіддалені вузли: х0,х1=х0+h, x2=x0+2h, ... , xn=x0+n*h
Отримаємо для цього випадку співвідношення між роздільними і кінцевими різницями:

Аналогічно неважко отримати, що

Перепишемо інтерполяційну формулу Ньютона в кінцевих різницях 1го роду:

Це інтерполяційна формула Ньютона 1го роду
Знайти P3(x) за формулою (4), якщо х0=0, х1=2, х2=4, х3=6, у0=1, у1=4, у2=2, у3=7 (Очевидно, що вузли є рівновіддаленими і h=2)
Розрахунки кінцевих різниць зведемо в таблицю

Використовуємо перший рядок (тут більше всього інформації про кінцеві різниці)


Отримаємо співвідношення між кінцевими різницями 2го роду і відповідними розділеними різницями.
Маємо:

Можна показати, що

Отримаємо інтерполяційну формулу Ньютона 2го роду (з використанням кінцевих різниць 2го роду)
Після підстановки виразів для кінцевих різниць в формулу

Отримаємо, що
Формули Ньютона (4), (5) - це кінцево-різницевий аналого формули Тейлора.
Знайти P3(x) за формулою (5), якщо х0=0, х1=2, х2=4, х3=6, у0=1, у1=4, у2=2, у3=7
Розрахунки зведемо в таблицю
| xk | yk | |||
|---|---|---|---|---|
| 0 | 1 | - | - | - |
| 2 | 4 | 3 | - | - |
| 4 | 2 | -2 | -5 | - |
| 6 | 7 | 5 | 7 | 12 |
(таблиця заповнюється знизу)
Використовуємо останній рядок
Сплайн (spline) -це гнучка лінійка, яка використовується для креслення кривих ліній.

Дано
yi=y(xi), xi (i=0,1,2,...,n)
Треба
Наблизити y(x) на інтервалі
(1)
Так щоб
і виконати умови неперервності перших і других похідних
Знайдемо невідомі
Для лівого кінця інтервалу
(2)
Для правого кінця
(3)
де
Рівності (2) і (3) записані з умови співпадання значень функції
Таким чином, маємо
Необхідно отримати ще
Для цього будемо вимагати рівність перших і других похідних поліномів (1) у внутрішніх вузлах (їх кількість
Отже маємо:
Залежності (4) і (5) дадуть ще
Отримаємо ці умови. Продиференціюємо (1):
Вимагаємо неперервності і гладкості у всіх точках, включаючи вузли. Прирівнюючи ліву і праву похідні для внутрішнього вузла
Необхідні ще 2 умови. Їх отримаємо, якщо припустимо, що на кінцях всього інтервалу
Це відповідає умові незакріплених кінців сплайну (нульова кривизна лінії).
З (10) маємо:
Таким чином, отримали систему лінійних рівнянь (2),(3),(8),(9),(11),(12) для визначення
Цю систему можна розв'язати методом Гаусса. Але набагато простіше розв'язати її методом прогонки.
Для цього попередньо приведемо цю систему до потрібного вигляду.
З рівняння (2) маємо:
З рівнянь (9) і (12) визначимо:
Якщо покласти
де
Підставимо (15) в (3), одночасно виключаючи
Виключимо тепер з (8) величини
В результаті маємо систему лінійних рівнянь відносно
(17)
Матриця системи (17) - трьохдіагональна. такі системи розв'язуються спеціальним методом - методом прогонки.
Після того, як знайдені коефіцієнти
Представимо друге рівняння системи (17) у вигляді:
(18)
де позначено:
Коефіцієнти
Покладемо в (18)
Невідомий коефіцієнт
(19)
Перепишемо (19) у вигляді
(20)
Далі для
Підставляючи сюди
виразимо
(21)
Представимо (21) у вигляді
22, 23
Для
Таким чином, для визначення
24
Друга - відносно невідомих
25
Системи (24)(25) - це системи рекурентних лінійних рівнянь, які розв'язуються послідовно:
В результаті такої ''прогонки'' знаходяться конфіцієнти
Есть отакая таблица данных
| 0,0 | 1,5 | 4,0 | 5,2 | 7,0 | 9,3 | |
|---|---|---|---|---|---|---|
| 1,00 | 2,52 | 4,16 | 3,20 | 5,10 | 6,20 |
Над получить такую формулу для каждого отрезка, т.е. на
Несложно догадаться, шо
Задача сводится к тому, шо надо найти эти коефициенты
по алгоритму определяем коефициенты и правые части системы
Система будет иметь такой вид:
Полученная матрица трёхдиагональная, шоб решить используем метод прогонки
Теперь мона получить коефициенты сплайна
Знайдемо коефіцієнти
Отлично, теперь ищем коефы для
Интерполяция окончена, олды получены

(притащил сюда таблицу шоб глаза не насиловать)
| № | 0 | 1 | 2 | 3 |
|---|---|---|---|---|
| 1 | 2 | 4 | 7 | |
| 2 | 3 | 1 | 4 |
Вернёмся к формуле
это формулка для каждого отдельного участка сплайна.
теперь попробуем составить это уравнение для первого участка, он же
начинается этот участок на х=1, знач заменим в формулке
Это значит, что при х=1 у=2, а при х=2 у=3. Из этого ищем коеф

Подставим значения первой и второй точек в формулку, получим:
Это на изичах можно упростить
На пересечении отрезков должен быть плавный переход, для таких прЭколав мона использовать производные, так как они показывают динамику роста функции (земля пухом тем, кто будет это реализовывать)
Сплайн должен заходить с одинаковой кривизной и углом. Первая производная отвечает за угол. Кривизна же идёт по второй производной, а вот собственно и они:

В первой точке стыка, она же (2,3) производные сплайнов должны быть одинаковыми, т.е.:
оно же
аналогично будет в точке (4,1):
оно же
остнаётся ещё 2 уравнения
Зададим нулевую кривизну для начала и конца, т.е.
учитывая, что мы знаем некоторые коэфы - заменяем известные:
Таким образом получаем матрицу СЛАУ значений коефов А и матрицу столбец значений В
Раніше було розглянуто наближення функцій методами інтерполювання. Вони забезпечують хорошу точність на невеликих відрізках. Середньоквадратична апроксимізація дозволяє будувати наближені формули у випадку великих відрізків з великою кількістю вузлів
Для заданої функції
де
Якщо множина Х, на якій розглядається задача середньоквадратичного наближення, задана у вигляді інтервалу
Принципова відмінність задачі середньоквадратичного наближення від задачі інтерполяції полягає в тому, що кількість невідомих коефіцієнтів

Якщо розглядається міра відхилення
В даному випадку задача розглядається для функції
Оскільки
Розглянемо випадок алгебраїчного поліному
Візьмемо похідні
система
Матриця системи
Симетричність матриці є відмінною властивістю застосування методу найменших квадратів, який полягається в основу середньоквадратичного наближення.
Можна довести, що якщо серед вузлів
Якщо m-n, то апроксимуючий поліном
Таким чином, наближення у вигляді апроксимації є більш узагальненим процесом в порівнянні з інтерполяцією.
Система
Нехай функція
| 0,78 | 1,56 | 2,34 | 3,12 | 3,81 | |
|---|---|---|---|---|---|
| 2,50 | 1,20 | 1,12 | 2,25 | 4,28 |
Наблизимо функцію поліномом
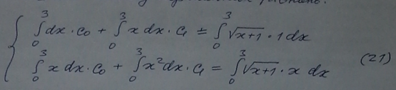
Нормальна система рівнянь
Обчислення коефіцієнтів нормальної системи запишемо в табличному вигляді

Таким чином маємо систему:
Розв'язок цієї системи:
Апроксимуючий поліном має вигляд
Знайдемо значення величини відхилення

Для алгебраїчного полінома основна система функцій
Якщо ввести позначення
То систему нормальних рівнянь
Функцію
В цьому випадку
Нормальна система має вигляд:
Обчислення коефіцієнтів системи

Нормальна система розпадається на два незалежних рівняння
Тобто
Нехай функція
був якомога близьким до
Розглянемо систему нормальних рівнянь в загальному випадку:
Для того, щоб поліном
Нехай числа
Доведемо, що
Маємо:
Перепишемо перше рівняння системи у вигляді
Приймаючи до уваги
умова
Запишемо
Сформуємо:
тобто
з урахуванням
Рівняння 8 - це теорема Піфагора в Гільбертовому просторі. Оскільки
що і потрібно було довести.
Нехай
Запишемо
Оскільки 8 виконується при будь-якому
Тоді величина
Тоді в першому наближенні
Оскільки
Таким чином з 9 будемо мати
тобто з 10 отримаємо з урахуванням
Оскільки функція
А система 11 як ми бачили раніше - це фактично система
Система нормальних рівнянь
Доведемо від противного. Нехай система
в скороченому вигляді
Аналогічно:
Оскільки
Віднімемо 14 від 15, маємо:
Остаточно отримали:
Розпишемо 16 для
Домножимо перше рівняння 17 на
тобто
Розглянемо
Оскільки
Але оскільки
Остаточно для похибки маємо:
з 20 випливає що значення похибки заздалегідь невідоме, тобто оцінка 20 є постеріорною (після досліду).
Нехай на множині
Апроксимуючий поліном має вигляд
Система нормальних рівнянь записується у вигляді
де
задану функцію
запишемо систему нормальних рівнянь:

Обчислимо інтеграли в системі 21

Нормальна система:

Домножимо друге рівняння на

Тоді з другого рівняння отримаємо:

Таким чином: 
Оцінимо похибку наближення:

Похибка достатньо мала
нехай базисні функції
і розпадається на m окремих рівнянь
з рівнянь 2 маємо:
Розглянемо систему функцій
ці функції є ортогональними на інтервалі
Тригонометричний поліном степені m має вигляд:
Система нормальних рівнянь має вигляд:
звідки:
коефіцієнти
таким чином, ряд фур'є є оптимальним наближення функції на інтервалі
функцію
знайдемо коефіцієнти:

отримали:

оцінимо похибку наближення

Спочатку розглянемо приклад. Є функція

Знайдемо похідну
отже
. Якщо взяти дуже мале
Оскільки чисельні методи визначення похідних є наближенними, то застосовувати їх треба з обмеженістю, бо похибка може бути занадто великою. Якщо значення функції задані як результати вимірювань і необхідно дослідити поведінку похідних, то треба застосувати попереднє зглажування з подальшим диференціюванням.
Нехай функція 
Введемо позначення

запишемо з урахуванням (2)

і т.д. Тоді з 1 маємо:

Групуючи коефіцієнти по степеням та в 3 отримаємо:

Покладемо
і перепишемо 4 у вигляді:

Порівняємо формулу 5 з розкладанням функції

Оскільки розкладання в ряд по степеням
можна виконати єдиним способом, то порівнюючи коефіцієнти при однакових степенях
в правих частинах рівностей 5 і 6 отримаємо:

Формули 7 і 8 це формули Грегорі-Ньютона, які використовують кінцеві різниці 1го роду. Вони апроксимують першу і другу похідні функції
Формули 7 і 8 записані для вузла

Знайти

Знайдемо кінцеві різниці. Результат представимо в таблиці

Маємо:

Для другої похідної маємо:

Запишемо формулу Тейлора для функції

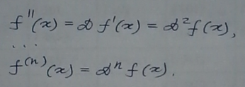
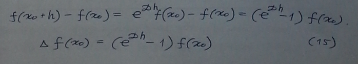
Введемо оператор диференціювання:

Тоді

Перепишемо формулу 11 з урахування введеного оператора диференціювання:

Використовуючи формальні операції отримаємо:

Порівняємо вираз в дужках в правій частині 13 з розкладенням функції

Отримаємо:

Віднімемо

Рівність 15 треба розуміти як рівність дій, а не величини.
Отже з (15) маємо:

Логарифмуємо:

Оскільки для
то з (16)

Домножимо (17) на
тобто
Отримаємо формулу для
Тоді
і остаточно:
Виведемо формули для обчислення похідних з використанням різниць другого роду.
Запишемо формулу Тейлора у вигляді
Використаємо оператор диференціювання
Оскільки
то формула (18) набуває вигляду:
тоді
тобто
Прирівнюючи дії в виразі (19) маємо
Логарифмуємо:
Отримаємо:
Домножимо (20) на
тобто
Для другої похідної отримаємо:

Для функції
Сформуємо таблицю
| 0 | 0 | ||||||
| 1 | 1 | 1 | |||||
| 2 | 8 | 7 | 6 | ||||
| 3 | 27 | 19 | 12 | 6 | |||
| 4 | 64 | 37 | 18 | 6 | 0 | ||
| 5 | 125 | 61 | 24 | 6 | 0 |
Оскільки
Функція
Введемо позначення:
Отже

Квадратичною формулою називається всяка проста формула, що апроксимує інтеграл
Замінимо підінтегральну функцію
Позначимо
Тоді:
Маємо:
Тоді:

Це - наближена формула для обчислення інтеграла на інтервалі
Введемо заміну
тоді:

Остаточно:

Замінимо підінтегральну функцію


Формула (4) - квадратична формула трапецій. На рис 1. зображена трапеція, що апроксимує площину під графіком функції
Розіб'ємо інтервал
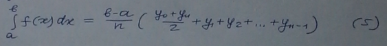
Отримали велику (складову) формулу трапецій:

Формулу ілюструє рис 2.
Площина під графіком функції
Легко отримати і велику формулу прямокутників

Наблизимо підінтегральну функцію



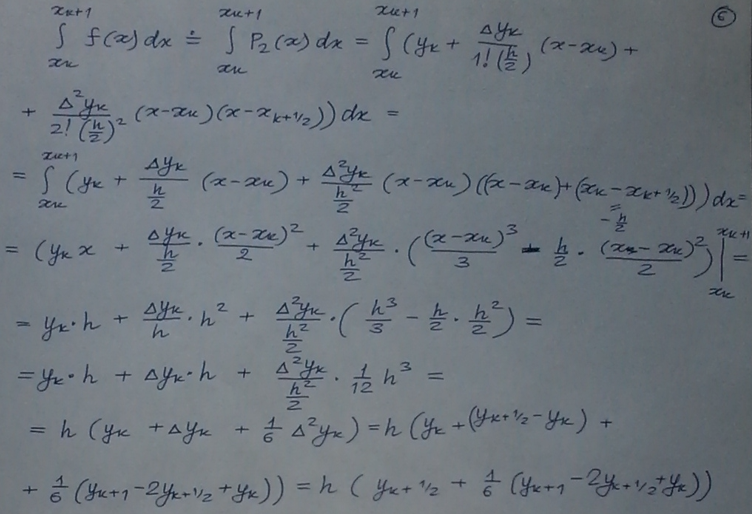
Отримали квадратичну формулу Сімпсона.
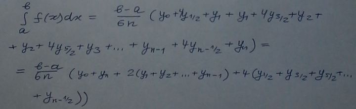
Виведемо велику (складову) формулу Сімпсона. Інтервал


На попередній лекції ми отримали наступні квадратичні формули:
формула середніх:

Оцінимо похибки квадратичних формул. Розкладемо підінтегральну функцію

Проінтегруємо (1) на інтервалі
Порівнюючи вираз (5) з формулою середніх (2), отримаємо, що похибка квадратичної формули середніх:
Щоб отримати похибку формули трапецій, підставимо в формулу (4)
Якщо підставити в (4)
Враховуючи (7) і (8), маємо:

Віднімаючи (9) від (5), отримаємо похибку квадратичної формули трапецій:


Таким чином формула середніх вдвічі точніша за формулу трапецій. Причому значення похибки протилежні.
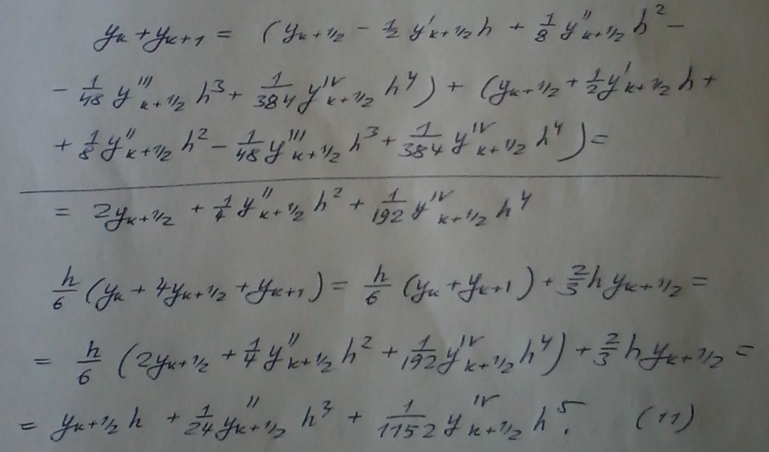
Розглянемо похибку квадратичної формули Сімпсона. Сформуємо формулу Сімпсона з використанням формул (7) і (8): Маємо:

Порівнюючи (11) з розкладанням (5), отримаємо, що

Розв'язання звичайних диференціальних рівнянь займає важливе місце серед прикладних задач фізики, хімії та техніки.
Відомо, що звичайне диференціальне рівянння р-го порядку можна за допомогою заміни звести до еквівалентної системи р-рівнянь 1го порядку

Аналогічно, довільну систему диференціальних рівнянь любого порядку можна замінити деякою еквівалентною системою рівнянь 1го порядку. Тому в подальшому будемо розглядати систему рівнянь 1го порядку
Представляючи її в векторному вигляді
Як відомо з теорії диференціальних рівнянь, система (1) має множину розв'язків, яка в загальному випадку залежить від р параметрів
Тоді розв'язок системи (1) або векторного рівняння (2) можна записати у формі:
Для визначенння
Маємо додаткові умови для визначення постійних
(тобто задані значення всіх функцій
Ці умови можна розглядати як завдання координат початкової точки
Треба зауважити, що якщо праві частини рівнянь (1) неперервні і обмежені в деякому околі початкової точки
Має розв'язок, але взагалі кажучи, не єдиний.
Якщо праві частини

Поділяють на точні, наближені та чисельні. (точні методи розглядаються в курсі диференціальних рівнянь)
Розв'язок отримується як границя
Можна застосовувати для порівняльно простих задач (таких як лінійні)
це алгоритми обчислення наближений (іноді - точних) значень шуканого розв'язку
Чисельні методи не дозволяють отримати загальний розв'язок рівняння (2), вони можуть надати тільки якийсь частковий розв'язок. Вони можуть бути застосовані до широкого класу рівнянь і до всіх типів задач. Чисельні методи можна застосувати тільки до конкретно поставлених задач. В цьому сенсі задача повинна бути добре обумовлена, тобто малі зміни початкових умов не повинні приводити до великих змін в розташуванні інтегральних кривих.
Теорія - див. Демідович, Марон с128-134
Приклад:
Розв'язок шукаємо у вигляді ряда Маклорена, (частинний випадок ряда Тейлора)
З початкових умов:

тобто отримали розкладення:
Якщо початкові умови задаються в довільній точці
Метод рядів Тейлора є універсальним для любого диференціального рівняння з любими початковими умовами. Однак, отримати загальний вигляд члена ряда (8) неможливо (а про збігання ряда можна судити тільки по членам ряда). Ряд (8) швидко збігається в околі початкової точки. Яцщо треба отримати розв'язок на значному інтервалі, де ряд може розбігатися, або збігатися дуже повільно, цей метод не застосовується.
Самостійного значення не має.
Теорію чистити в книжці Демидович, марок стор 134-140
Це - наближений метод.
Розглянемо на практиці:
(Розв'язок цього рівняння не виражається через елементарні функції)
Застосуємо формулу метода Пікара
Метод Пікара доцільно застосовувати, якщо інтеграли вдається виразити через елементарні функції.
Розглянемо на прикладі рівняння першого порядку:

Треба скласти таблицю значень функції розв'язку y(x) в точках
Розглянемо вузол
тоді
Зробимо заміну похідної кінцевою різницею:
Формула (13) - це робоча формула метода Ейлера
Отримаємо геометричну інтерпретацію метода. Розглянемо інтервал

проведемо дотичну до інтегральної кривої в точці
Тобто маємо формулу метода Ейлера (13)
Таким чином відрізок інтерполяційної кривої на інтервалі
В методі Ейлера інтегральна крива апроксимується ламаною і метод називається методом ламаних.
Отримаємо методом Ейлера розв'язок задачі Коші (9) на інтервалі
Результати розрахунку представимо в табличному вигляді. В останньому стовпчику наведемо "точний" розв'язок
Отримали у(1,0)=0.2204. точне значення за методом Пікара
Покажемо, що метод Ейлера є методом 1го порядку точності.
Розкладемо функцію розв'язку у(х) в ряд Тейлора в околі точки
Порядок членів, що відкидуються, дорівнює 2. таким чином, сам метод має перший порядок.



Разом із значеннями функції розв'язку в вузлах
Метод розглянемо на прикладі рівняння першого порядку:
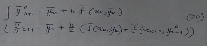
Формулу методу запишемо у вигляді
де
Таким чином, інтегральна крива апроксимується відрізками прямих, напрямок яких співпадає з напрямком дотичної до інтегральної кривої в середній точці інтервалу
Застосуємо формули метода Ейлера з напівкором (16) до розв'язання
З початковою умовою у(0)=0
Отримаємо розв'язок на інтервалі
Результати представлені в таблиці. На кожному кроці використовуються дві формули (16):
Спочатку перша, потім друга.
Отримали: 
Розглянемо на прикладі рівняння першого порядку.
формула метода має вигляд:
Таким чином, на інтервалі
тобто
Це - наявний метод, бо в правій частині значення
залежить від
Перша формула (19) називається предиктор, друга - коректор. На кожному кроці застосовується обидві формули, при чому перша - один раз, друга може застосовуватися декілька разів у вигляді
Умова закінчення розрахунку на інтервалі
Де Е - задається.
Буде показано, що модифікований метод Ейлера - це метод 2го порядку.
Для системи рівнянь формул метода мають вигляд:

Застосуємо формулу Лагранжа про кінцеві прирости на відрізку
Позначимо
тоді
Диференціальне рівняння
замінюється різницевим рівнянням

Ідея Рунге-Кутти - введення в різницеву схему (3) низку додаткових параметрів, які уточнюють наближення 
Представимо (3_ у вигляді
Тут р1,р2,...,р3,d1,d2,..,
Наприклад, якщо у випадку бе=1 взяти р1=1,
Розглянемо схеми другого порядку. Покладемо в (4) е=2
Маємо:
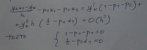
Покажемо, що при е=2 можна так вибрати р1,р2, щоб схема (6) мала другий порядок апроксимації.
З (5) для к1 і к2 маємо:
Скористаємось розкладанням Тейлора:

Розкладемо функцію двох змінних
в ряд тейлора, отримуємо лінійні члени по h:
Для того, щоб схема (16) мала другий порядок по h, необхідно, щоб одночасно коефіцієнти при 
Тобто

Всі схеми при
, для яких має місце умова (17), мають другий порядок точності.
Розглянемо випадок, коли 
Це розглянутий раніше метод Ейлера з напівкроком.
Тепер візьмемо
Маємо:
Це розглянутий раніше модифікований метод Ейлера.
Таким чином ми показали, що метод Ейлера з напівкроком і модифікований метод Ейлера - це методи Рунге-Кутти 2го порядку.
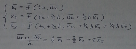
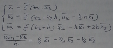
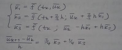
Загальна схема методів 3го порядку:
Оскільки на момент обчислення к3 вже відомі к1 і к2, схему можна деталізувати:
Як і у випадку методів 2го порядку, можна показати, що калетним(?) вибором
можна забезпечити схемі (1)-(2) третій порядок точності.
Умова цього наступна:

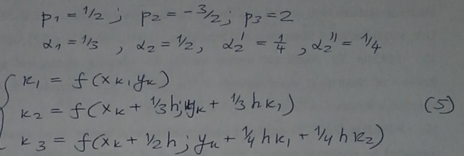
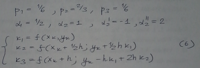
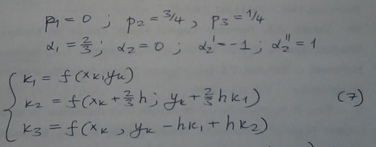
Серед безліч схем 3го порядку наведемо наступні
А)

Б)

В)

Г)

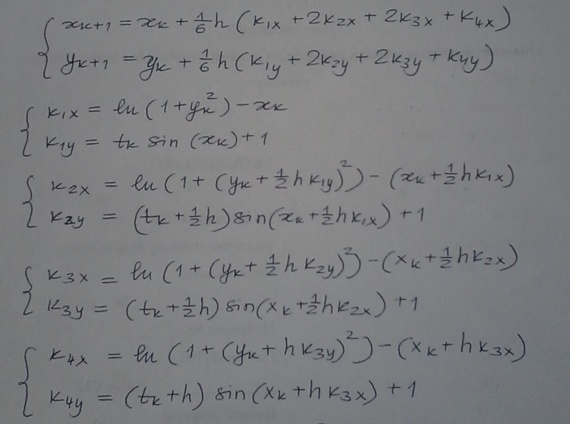
Запишемо формули методів А)-Г) для векторного рівняння:
А)
Б)

В)

Г)

Розглянемо систему:
Запишемо формули методу А):

Цей метод найбільш часто використовується в технічних задачах.
Схема метода для рівняння першого порядку:
Значення
отримані з умови співпадання різницевої схеми (8) з рядом тейлора включно до членів порядку
Для цієї схеми
Схема метода Рунге-Кутти 4го порядку для векторного рівняння
:

Система:


Розглянемо диф рівняння
Нехай відомі значення точного розв'язку
а наступне значення
розкладене по степеням кроку h в ряд Тейлора:

Застосуємо чисельний (наближенний) метод до точних значень
і отримаємо
Розкладемо його в ряд Тейлора:

Якщо для всіх n виконується рівність
причому
для деякого n, то число m називається порядком точності наближеного методу.
При цьому похибка методу на кожному кроці має порядок
Розрахунок проводять на двох сітках значень аргументу х. Для першої сітки відстань між вузлами становить h, для другої - 2h.
Позначимо точний розв'язок рівняння (1), як
. Тоді на одному кроці обчислень маємо оцінку:

вважаючи А постійним для кожного кроку обчислень, зробимо 2n кроків по густій сітці.
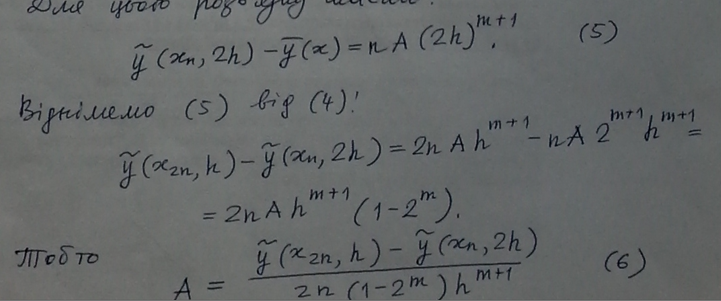
Отримаємо:

Тепер зробимо n кроків по розрідженій сітці (H=2h). Отриманий наближений розв'язок позначимо, як 

Для цього розв'язку маємо:

Формула (6) дозволяє уточнити розв'язок, отриманий на густій сітці за рахунок розв'язку, що отриманий на розрідженій сітці.
Враховуючи (4), запишемо уточнений розв'язок
Підставимо 6 в 7:
Формула (8) уточнює розв'язок
в вузлах, що співпадають, поправка складає

Значення поправок в решті вузлів густої сітки знайдемо на основі найпростішої інтерполяції:


В раніше розглянутих методах Рунге-Кутти значення 
Саме на цій ідеї основані багатокрокові мтеоди.
Розглянемо лінійні багатокрокові методи.

Формула 1 дає опис загального лінійного р-крокового методу.
Якщо
При застосуванні багатокрокових методів на кожному кроці обчислень звичайно використовують одночасно дві схеми - явну і неявну. Явна схема називається предиктор, неявна - коректор. Явна схема дає початкове наближення
Метод Адамса отриманий за допомогою другої інтерполяційної формули Ньютона, в якій утримуються кінцеві різниці до 4го порядку включно



Для їх знаходження треба використати інший метод 4го порядку, наприклад, метод Рунге-Кутти. Тобто спочатку треба тричі використати метод Рунге-Кутти 4го порядку з кроком h, а тільки потім формулу 2. Така процедура називається розгонною
У випадку, коли маємо систему диференціальних рівнянь, формули Адамса набувають вигляду:

Запишемо розрахункові формули метода Адамса для системи:

Предиктор:

Коректор:

Формула 6 (? про систему чи шо) дозволяє уточнити розв'язок, отриманий на густій сітці за рахунок розв'язку, що отриманий на розріженій сітці.
Враховуючи 4, запишемо уточнений розв'язок

Підставимо 6 в 7:

Формула 8 уточнює розв'язок 
Значення поправок в решті вузлів густої сітки знайдемо на основі найпростішої інтерполяції:


В таблиці останній стовпчик
Використаний метод чисельного інтегрування - метод Ейлера 
Другий стовпчик - наближений розв'язок з кроком h=0.25
Третій стовпчик - наближений розв'язок з кроком 2h=0.5
Четвертий стовпчик: добавка до розв'язку: в співпадаючих вузлах вираховується за формулою 10, в неспівпадаючих вузлах - за формулою 9.1
П'ятий стовпчик - уточнений розв'язок
Уточнений розв'язок точніший за розв'язок
Постійна часу в розв'язку диференціального рівняння - це час, необхідний для його зменшення в
Маємо рівняння

Отримаємо загальний розв'язок:

Стійке диференціальне рівняння називається жорстким, якщо воно має частинний розв'язок у вигляді експоненти, що складає, постійна часу якого дуже мала у зрівнянні з довжиною інтервала, на якому шукається цей розв'язок.
Для системи
Швидкості спадання пов'язані з власними значеннями матриці якості

Розглянемо наспупний приклад:
Знайдемо розв'язок системи

Матриця Якості маж вигляд:

Знайдемо власні значення:

Нескладно бачити, що 
Знайдемо
. Для цього продиверенціюємо 4:

З початкових умов маємо:

з 3 і 5 при t=0 отримаємо:

Таким чином


Отже розв'язок має вигляд:

Знайдемо ектстремальні значення розв'язку 6

Спробуємо знайти чисельний розв'язок системи 3 методом Ейлера:
Маємо робочі формули:

Нехай h=0.01 зробимо один крок

Отримали, що вже після першого кроку

Розглянемо неявний метод Ейлера:

Який для системи 3 записуються так:

Формули 7 приводяться до вигляду:

Зробимо один крок за схемою 8

Система 9 дає

Ці значення більш прийнятні, ніж отримані звичайним методом Ейлера
Основне протиріччя жорстких систем полягає в тому, що малий крок інтегрування, потрібний для відтворення щвидкоплинних процесів не може бути збільшений в подальшому, коли похідна розв'язку стає суттєво меншою за її початкове значення.
Перший участок (на рисунку) з швидким зростанням (спаданням) розв'язку називається пограничним шаром. Для розглянутої системи це
Задача Коші

Називається жорсткою в інтервалі
відношення

Де
, в яку підставлено розв'язок
Величину
Для заданого диференціального рівняння

треба знайти розв'язок 
Крайові задачі поділяють на лінійні і нелінійні. Лінійні задачі мають місце, коли диференціальне рівняння лінійне, і лінійні крайові умови. Лінійні задачі поділяються на однорідні і неоднорідні
Найпростіша двоточкова крайова задача. Знайти функцію 
І приймає при
Геометрично це означає, що треба знайти інтегральну криву рівняння 3, яка проходить через дані точки

Крайова задача може:
а) не мати розв'язків Б) мати єдиний В) мати декілька, або нескінчено багато
Диференціальне рівняння
має загальний розв'язок

А) нехай
Б) Нехай
тобто розв'язків задача не має
В) Нехай
і маємо єдиний розв'язок 
Розглянемо метод на прикладі рівняння другого порядку

З крайовими умовами:

Спочатку розглянемо однорідне рівняння:

Розв'язуючи чисельно задачі Коші 7 8 знайдемо розв'язок
і знайдемо розв'язок задачі 7 9
Тоді маємо загальний розв'язок рівняння 7 у вигляді

Тепер знайдемо розв'язок рівняння 5

З довільними початковими умовами, наприклад

і знайдений розв'язок рівняння 5 буде мати вигляд:

Залишається визначити с1 і с2 з крайових умов 6
З 13 початкових умов 8 і 9 маємо
де 
Звідки маємо:

Значення
отримали як залежності від с1 с2. Підстановка цих залежностей в крайові умови 6 призводить до системи лінійних рівнянь відносно с1 і с2:

Розв'язуючи яку знайдемо невідомі с1 і с2 таким чином крайова задача звелась до розв'язання трьох задач Коші і системи лінійних рівнянь 17
Розглянемо рівняння другого порядку

Де права частина в загальному випадку - нелінійна функція, і крайові умови 6
Розіб'ємо інтервал [a,b] точками
. Треба знайти 
Запишемо ряди Тейлора

Віднімемо 20 від 19, маємо

Звідкіля отримаємо:

Додаючи 19 до 20 маємо:

Таким чином для 
В системі 23 всього n-1 рівняння відносно невідомих 
Домножимо 24 на 4 і віднімемо від нього 25:

Для правого кінця також маємо:

Отримаємо з 27 28:

Підставимо вирази 26 29 в крайові умови і отримаємо з врахуванням 23 наступну систему рівнянь:

Таким чином задача 18, 6 звелася до системи n+1 рівнянь з n+1 невідомими.
розглянемо випадок лінійного рівняння

Кінцево-різницевий аналог цього рівняння

Тоді система 30 приймає вигляд:

Це - трьохдіагональна система лінійних рівнянь. Її можна розв'язати звичайним методом Гайса, Але більш економічним методом її розв'язування є розглянутий раніше метод прогонки, який застосовується при інтерполяції сплайнами.
При застосуванні методу кінцевих різниць до крайових задач для диференціальних рівнянь другого порядку маємо трьохдіагональну систему лінійних алгебраїчних рівнянь, кожне з яких містить три сусідні невідомі. Для розв'язування такої системи розроблений спеціальний метод - метод прогонки.
Розглянемо лінійне диференціальне рівняння

З двоточечними лінійними крайовими умовами

- неперервні функції на [a,b]
Як було показано в попередній лекції, замість диференціального рівняння 1 отримаємо систему кінцево різницевих рівнянь:

Після нескладних перетворень запишемо 3 у вигляді

Де позначено:

Для похідних на кінцях 
Звідсіля згідно умов 2 отримаємо

Розглянемо метод прогонки: Розв'яжемо систему 4 відносно 
Нехай за допомогою повної системи 4 6 з рівняння 7 виключемо невідоме 
де
- деякі коефіцієнти. 3 8 маємо:

Підставляючи цей вираз в рівняння 4 отримаємо:

Порівнюючи 8 і 9 отримаємо для визначення с1 і d1 рекурентні формули

Визначимо окремо c0,d0 з першої крайової умови 6 отримаємо

З іншого боку з формули 8 при i=0 маємо

Порівнюючи два останні рівняння знаходимо:

На основі формул 10 11 послідовно визначаються коефіцієнти

(прямим ходом)
починається з визначення 
Розв'язуючу її відносно 
Тепер за формулою 8 послідовно знайдемо

Для найпростіших крайових умов

Формулм для
з формул 12 маємо:

Треба відмітити, що метод прогонки має стійкий обчислюваний алгоритм і похибки округлень не викликають нескінченного зростання похибки рішення
Методом прогонки знайти розв'язок крайової задачі

Рішення
Візьмемо h=0.1, перейдемо від рівняння 17 до кінцеворізницевого аналого:

Згідно формули 15 маємо 
Розглянемо лінійне диференціальне рівняння

З найпростішими крайовими умовами

Введемо спеціальну функцію вигляду:
Де
- деякі неперервні функції на [a,b] Нехай
також неперервно диференційовані на [a,b]
Продиференціюємо 3, отримаємо

Підставимо замість 
Рівність 5 означає, що 
Замінемо в 6 
Порівняємо розкладення 5 і 7
Прирівнюючи коефіцієнти при однакових степенях у маємо систему:

Тобто отримали систему двох диференціальних рівнянь першого порядку відносно 
З крайових умов 2 отримаємо початкові умови для інтегрування системи 9 для 
Таким чином отримали початкові умови для інтегрування системи 9 в зворотному часі

Інтегруючи систему 9 від 
З виразу 3 отримаємо другу початкову умову для інтегрування системи 13

Виконаємо інтегрування системи 13 з початковими умовами

Від
В деяких випадках процес інтегрування системи 9 може бути нестійким.
тоді можна пропонувати інший зв'язок між 
Розглянемо процес лінійної прогонки для цього випадку. Диференціюєсо 14:

Розв'яжемо 15 відносно старшої похідної

Скористаємося виразом 6, підставивши в нього замість у вираз 14

Вирази 16 і 17 - це розкладання функції 
Отже, маємо систему диференціальних рівнянь

Отримаємо початкові умови для інтегрування системи 18 з урахуванням вигляду крайових умов 2 і спеціальної функції 14:

Оскільки

Отже інтегруємо систему 13 з початковими умовами 20 21 від 
Інтегрування системи 13 здійснюємо в зворотному часі від
Знайти розв'язок диференціального рівняння
З крайовими умовами
На інтервалі 
Оскільки 
З 3 маємо:

Записуємо диференціальні рівняння відносно 
Початкові умови для інтегрування системи 5:

Використаємо для інтегрування метод Ейлера. Результати представлені в табл 1. Інтегрування відбувається в зворотньому часі від х=0.5 до х=0 з кроком h=-0.1

Табл1
Робочі формули метода Ейлера для системи 5:

В таблиці позначено:

Після інтегрування отримали:

Тепер з 2 можна визначити

Це - друга початкова умова для інтегрування рівняння 1 від х=0 до х=0.5 з кроком h=0.1. Перша початкова умова

Використаємо метод Ейлера. Результати представлені в табл. Робочі формули метода Ейлера для системи 7

Позначимо:


Табл 2

Отже отримали розв'язок крайової задачі який представлений другим та третім стовпчиками табл2
Крайова умова
Ще один спосіб зведення крайової задачі до задач Коші дає так званий балістичний метод, або метод стрільби.
Розглянемо крайову задачу для системи двох диференціальних рівнянь першого порядку з нелінійними крайовими умовами:
Виберемо довільне значення
Отже, параметр η слід підібрати таким чином, щоб
Знайти корінь алгебраїчного рівняння (5.3) можна різними наближеними методами.
Робимо «пробні постріли» – розрахунки з довільним чином вибраними значеннями
Однак знаходження кожного нового значення функції
Перші два «постріли»
Можна використовувати й інші подібні методи.
Особливо просто за допомогою методу стрільби розв’язуються лінійні крайові задачі. Справді, нехай задача (5.1),(5.2) є лінійною, тобто має вигляд
Тоді початковими значеннями відповідної задачі Коші будуть
Легко бачити, що розв’язок задачі Коші (5.5),(5.7) лінійно залежатиме від параметра η, тому функція
Зауважимо, що для лінійних задач можна суттєво зменшити обсяг роз-рахунків, врахувавши структуру загального розв’язку системи (5.5). Як відомо з курсу звичайних диференціальних рівнянь, загальний розв’язок лінійної неод-норідної системи рівний сумі загального розв’язку відповідної однорідної системи та деякого частинного розв’язку неоднорідної системи.
Знайдемо частинний розв’язок системи (5.5), що відповідає значенню
знайдемо її розв’язок і позначимо його через
Значення параметра С знаходимо з другої з крайових умов (5.6):
Підклавши знайдене значення С в (5.8), одержимо розв’язок крайової задачі (5.5),(5.6).
Метод стрільби є простим і успішно застосовним до більшості крайових задач типу (5.1),(5.2), а також до звичайних диференціальних рівнянь: адже, як відомо, будь-яке диференціальне рівняння п-го порядку можна звести до системи п рівнянь першого порядку. Труднощі виникають тоді, коли крайова задача (5.1),(5.2) добре обумовлена, а відповідна їй задача Коші погано обумов-лена. При цьому чисельне інтегрування задачі Коші визначає функцію
За допомогою методу стрільби знайти розв’язок крайової задачі:
Задача (5.9),(5.10) є лінійною, тому згідно з алгоритмом методу стрільби для відшукання її розв’язку достатньо інтегрування трьох задач Коші для рівняння (5.9) з початковими умовами
Нехай зроблені «постріли», наприклад,
Тоді згідно з формулою січних (5.4)
Підклавши в (5.11) знайдені функції
який згідно з алгоритмом методу стрільби для лінійних крайових задач повинен бути розв’язком крайової задачі (5.9),(5.10). Безпосереднім підкладанням легко переконатися, що функція (5.12) дійсно справджує обидві крайові умови з (5.10). Отже, розв’язок крайової задачі (5.9),(5.10)